• Предмет: Алгебра
  • Автор: elvirasalavatova
  • Вопрос задан 2 года назад

Помогите решить определенный интеграл

Приложения:

igorShap: Опечатка в условии: нет дифференциала. Вероятнее всего не 4x, а dx

Ответы

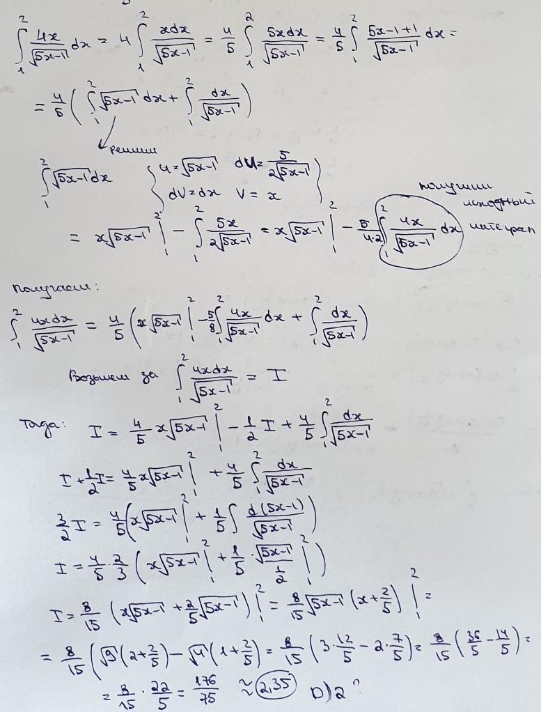
Ответ дал: Miroslava227
0

Ответ:

Ответ D)2 ?

Объяснение:

У меня получился дробный ответ 2,346666(6), при окружении 2,35, или, грубо говоря, 2. Не знаю, можно ли это считать правильным ответом в вашем задании. Я также проверила себя, вбив на сайте по решениям интегралов, и получила такой же ответ, как у себя: 176/75, или 2,34666...

Приложения:
Ответ дал: lilyatomach
0

Ответ:

такого ответа нет среди представленных

Приложения:
Вас заинтересует