• Предмет: Математика
  • Автор: vtope1704
  • Вопрос задан 2 года назад

Помогите с интегралами оч надо
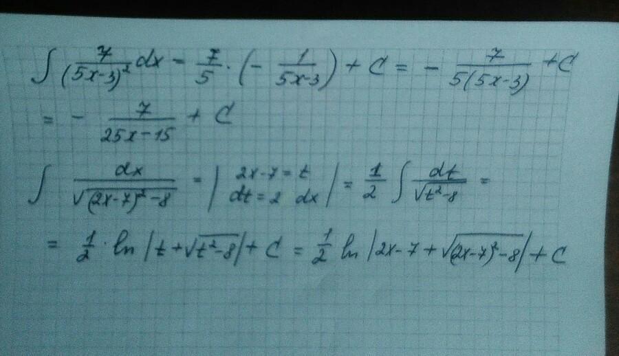
7/(5x-3)^2 dx
1/(корень из ((2x-7)^2)-8) dx

Ответы

Ответ дал: lilyatomach
1

Ответ:

решение представлено на фото

Приложения:
Ответ дал: god991
0

Ответ:

Пошаговое объяснение:

integral 7/(5 x - 3)^2 dx

= 7 integral 1/(5 x - 3)^2 dx

=  7/5 integral1/u^2 du  где  u = 5 x - 3 и  du = 5 dx

= -7/(5 u) + С

= 7/(15 - 25 x) + С

integral 1/(sqrt((2 x - 7)^2) - 8) dx

= 1/2 integral1/(sqrt(u^2) - 8) du  где  u = 2 x - 7 and du = 2 dx

= 1/2 integral1/s ds   где s = sqrt(u^2) - 8 and ds = u/sqrt(u^2) du

= log(s)/2 + С

= 1/2 log(sqrt(u^2) - 8) + С

= 1/2 log(sqrt((2 x - 7)^2) - 8) + С

= (sqrt((2 x - 7)^2) log(sqrt((2 x - 7)^2) - 8))/(4 x - 14) + С

Вас заинтересует