• Предмет: Алгебра
  • Автор: inkamove
  • Вопрос задан 2 года назад

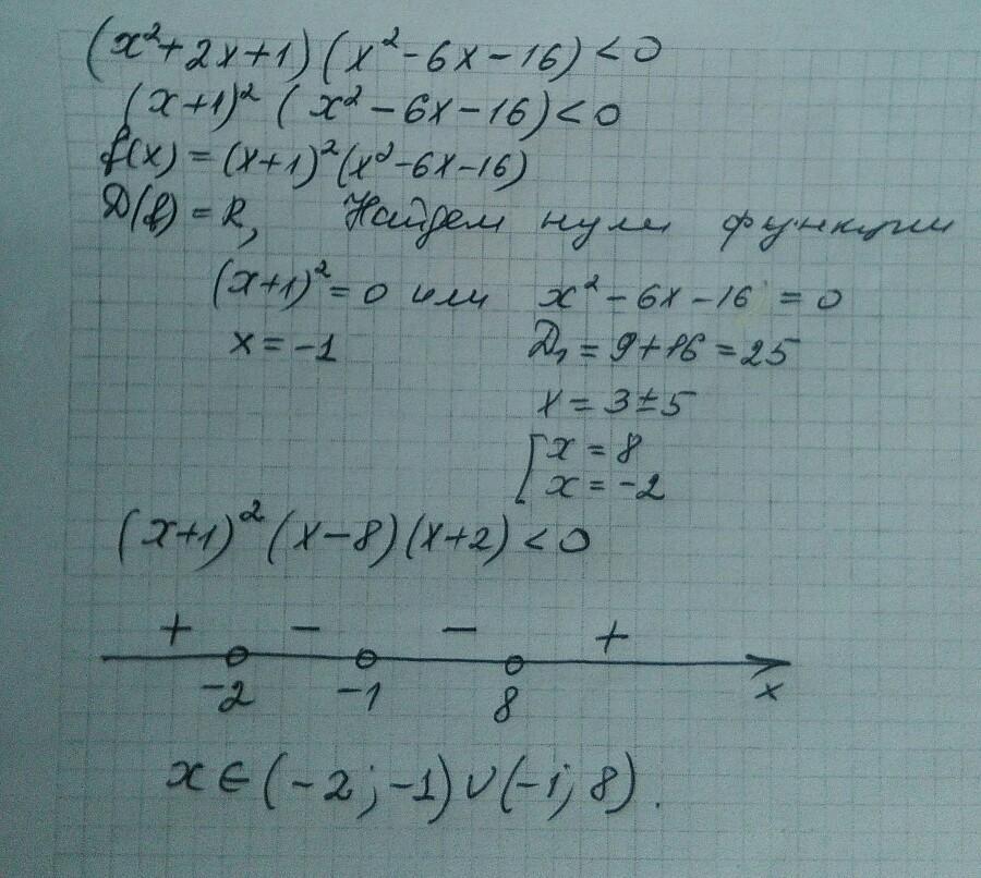
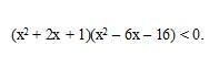
Розв’язати нерівність:

Приложения:

Ответы

Ответ дал: lilyatomach
2

Ответ:

решение представлено на фото

Приложения:
Вас заинтересует