• Предмет: Математика
  • Автор: juraevu01
  • Вопрос задан 2 года назад

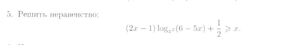
Прошу ребята помогите!надо решить неравенство ​

Приложения:

juraevu01: ребята можете сфоткать решение и отправить, просто не видно((

Ответы

Ответ дал: nafanya2014
2

---------------------------------------------------------------------------------------------

Приложения:

antonovm: скажем , если х = -2 , то основание логарифма будет уже больше 1
antonovm: "Так как из первого неравенства следует, что основание логарифмической функции меньше 1, " из первого неравенства это не следует , случай x <-1 не рассмотрен
nafanya2014: Да все расммотрено. 0<|x| <1 Зачем вы здесь эту бодягу разводите. Есть же личные сообщения.
nafanya2014: Метод рационализации не входит в обязательное изучение в школе. Чтобы его понять надо потрудиться. А как правило его не то что школьник, школьный учитель не знает. Для чего и изучают свойства возрастания и убывания.
antonovm: еще раз : если х < 1/2 , то x^2 не обязан быть меньше 1 , ваше ограничение 0< |x| <1 не следует из 2 системы
antonovm: " Так как из первого неравенства следует, что основание логарифмической функции меньше 1" - вот это неверно
nafanya2014: x ≤1/2<1
antonovm: а если x = - 2 ? это значение входит в одэзу
nafanya2014: Да я исправляла решение, не знаю почему не сохранилось....
antonovm: Сейчас еще раз отправлю , ок.?
Ответ дал: antonovm
1

Ответ:

(-1 ; 0) ∪ (0 ; 0,5]

Пошаговое объяснение:  Все преобразования равносильны , ОДЗ  мне не нужно ( именно по этой причине)

Приложения:

nafanya2014: Метод рационализации именно на ОДЗ. Рановильность нарушена во втором переходе.
antonovm: Нет , все переходы равносильны , а ОДЗ - для тех , кто математику не знает ( не понимает теорию равносильных преобразований )
antonovm: во втором переходе число 2 становится квадратом ( 6 -5х) , но это законно , только , если (6-5х) >0 , поэтому и появляется ограничение , в очередном шаге добавляется нужное ограничение так , чтобы этот переход был равносилен , в результате в последней системе есть ваша одэза
antonovm: про одэзу погорячился , вещь иногда полезная , но чаще вредная , в прошлом году многие школьники не сделали № 15 ЕГЭ , так как пытались найти ОДЗ , что приводило к неравенству 3 степени
nafanya2014: Цели такой не было, чтобы все решили. Иначе у всех будет 100 баллов. И что делать ВУЗАМ? Поэтому и встречаются "нерешаемые" или трудно решаемые задачи. А какой это номер - неважно. Но есть алгоритм, правило, которому учат: находим ОДЗ, иначе можем приобрести посторонние корни. И сделать отбор не получится. Но ... в некоторых случаях, подводный камни можно обойти. Как? Это уже вопрос второй.
Вас заинтересует