Ответы
Ответ дал:
1
0,5
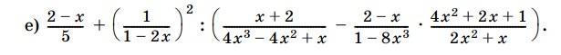
Решение задания приложено
Приложения:

Вас заинтересует
1 год назад
1 год назад
2 года назад
2 года назад
3 года назад
3 года назад
8 лет назад
8 лет назад