Ответы
Ответ дал:
1
Решение приложено
===========================================================
Приложения:


Mihail001192:
2 лист, 7 строчка: функция f(x) возрастает намного быстрее, чем g(x).
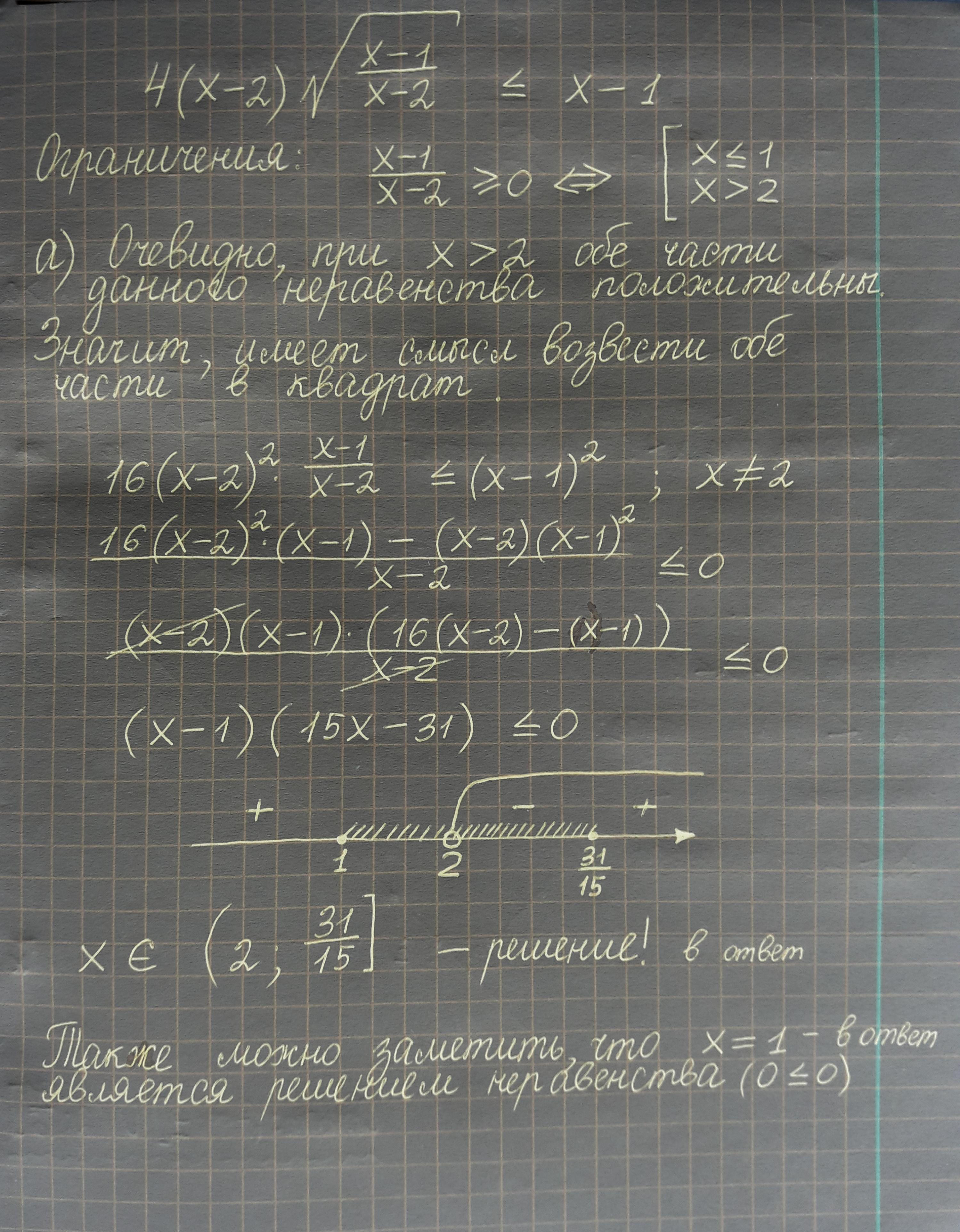
-4(2-x)sqrt((1-x)/(2-x))≤-(1-x); 4sqrt(2-x)≥sqrt(1-x);
16(2-x)≥1-x; 31≥15x; x≤31/15.
При x=1 слева и справа нули.
При x>2 получаем:
4(x-2)sqrt((x-1)/(x-2))≤x-1; 4sqrt(x-2)≤sqrt(x-1);
16(x-2)≤x-1; 15x≤31; x≤31/15.
Итого: x∈(-∞; 1]U(2; 31/15]
Вас заинтересует
1 год назад
1 год назад
2 года назад
2 года назад
3 года назад
8 лет назад