• Предмет: Математика
  • Автор: RinkaX7
  • Вопрос задан 2 года назад

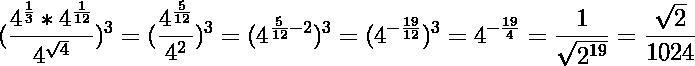
Вычисление

(4^1/3 * 4^1/12 / 4^ корень из 4)^3


RinkaX7: Распишите подробнее решение очень надо

Ответы

Ответ дал: sherlok123321
4

----------------

Готово™

----------------

Приложения:

RinkaX7: 4 над корнем 4, а не в степени... т.т
sherlok123321: пример решён был согласно данному условию.
sherlok123321: создайте другое задание, решат его.
Вас заинтересует