• Предмет: Алгебра
  • Автор: 79519417735
  • Вопрос задан 2 года назад

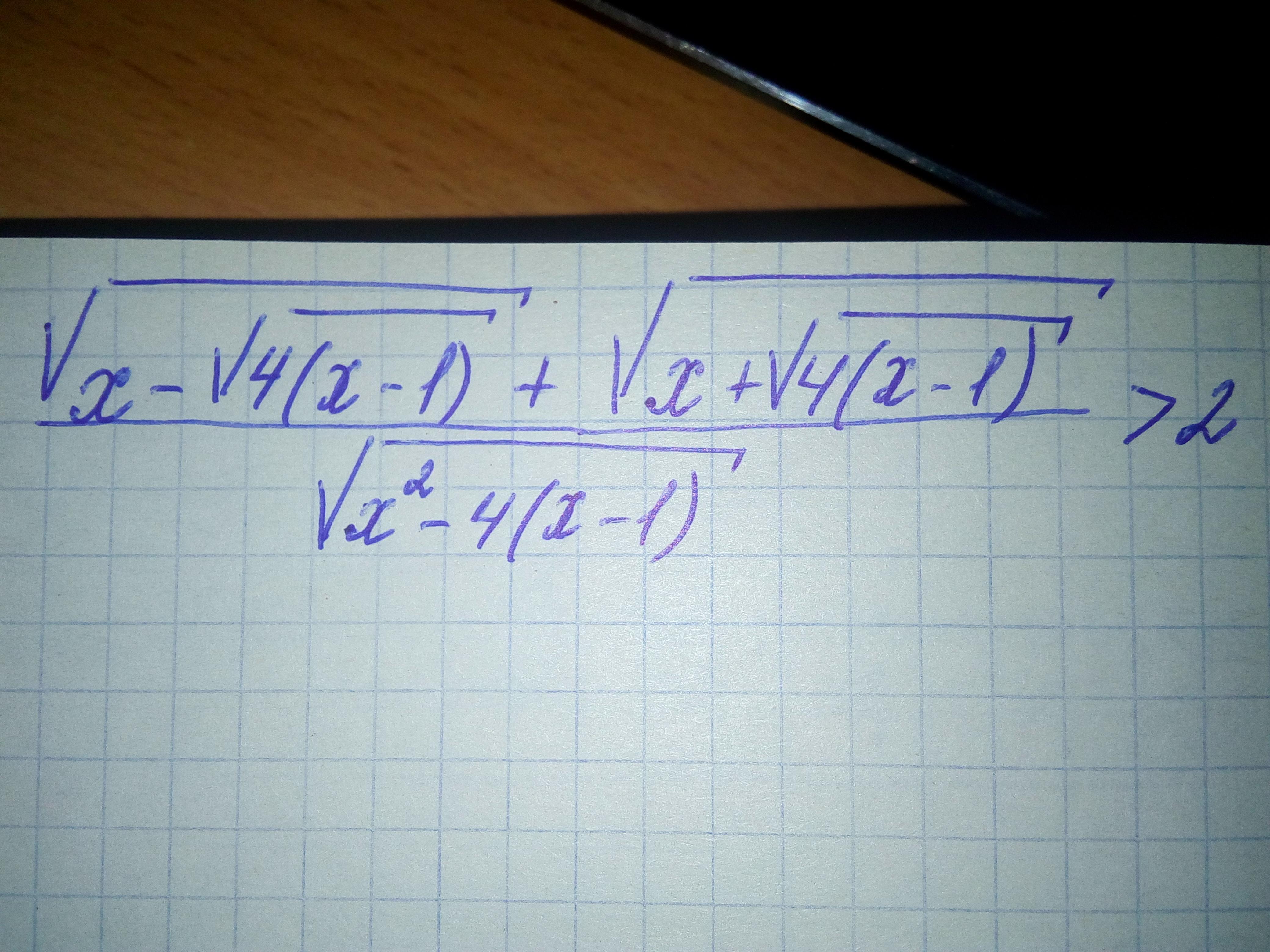
Помогите пожалуйста решить неравенство, фото прикреплено.. Заранее спасибо))

Приложения:

platon1108: Сожалеем, Ваш вопрос непонятен: в нем не хватает важных условий или изображений. Пожалуйста, проверьте условие или прикрепите фото задания, иначе мы будем вынуждены удалить Ваш вопрос!
VоЛk: Там + разве должен быть в числителе?
VоЛk: Пересмотрите ваш вопрос...
79519417735: Нет, всё верно...вопрос так и поставлен: решите неравенство..всё выражение переписано верно.
Аноним: Ответ икс правее двух и левее минус двух.
s0807: левее минус двух под корнем отрицательное. под вторым

Ответы

Ответ дал: DNHelper
0

Пусть \sqrt{4(x-1)}=2\sqrt{x-1}=t\Rightarrow x=\frac{t^2}{4}+1

Тогда заметим, что

\sqrt{x\pm\sqrt{4(x-1)}} =\sqrt{\frac{t^2}{4}+1\pm t}=\sqrt{\frac{t^2\pm 4t+4}{4}}=\frac{|t\pm 2|}{2}=\frac{|2\sqrt{x-1}\pm 2|}{2}=\\=|\sqrt{x-1}\pm 1|

Выражение в знаменателе преобразуем:

\sqrt{x^2-4(x-1)}=\sqrt{x^2-4x+4}=\sqrt{(x-2)^2}=|x-2|

Тогда исходное неравенство равносильно следующему:

\frac{|\sqrt{x-1}-1|+|\sqrt{x-1}+1|}{|x-2|}>2 \Leftrightarrow\frac{|\sqrt{x-1}-1|+\sqrt{x-1}+1}{|x-2|}>2

Заметим, что модуль в числителе и модуль в знаменателе обращаются в ноль при 2. То есть на промежутках они раскрываются одинаково:

Если x > 2:

\frac{\sqrt{x-1}-1+\sqrt{x-1}+1}{x-2}>2\\\frac{\sqrt{x-1}}{x-2}>1\\\sqrt{x-1}>x-2\\x-1>x^2-4x+4\\x^2-5x+5<0\\x\in (\frac{5-\sqrt{5}}{2};\frac{5+\sqrt{5}}{2})

Учитывая ограничения, получаем x\in (2;\frac{5+\sqrt{5}}{2})

Если 1 ≤ x < 2:

\frac{1-\sqrt{x-1}+\sqrt{x-1}+1}{2-x}&gt;2\\\frac{1}{2-x}&gt;1\\1&gt;2-x\\x&gt;1

Учитывя ограничения, получаем x\in (1; 2)

Теперь объединим промежутки и получим ответ.

Ответ: (1;2)\cup(2;\frac{5+\sqrt{5}}{2})


79519417735: Спасибо огромное, а вы бы не могли помочь мне ещё с двумя заданиями?))
Вас заинтересует