• Предмет: Алгебра
  • Автор: 79519417735
  • Вопрос задан 2 года назад

Помогите пожалуйста решить неравенство, фото прикреплено с ответом, заранее благодарю)

Приложения:

Ответы

Ответ дал: DNHelper
0

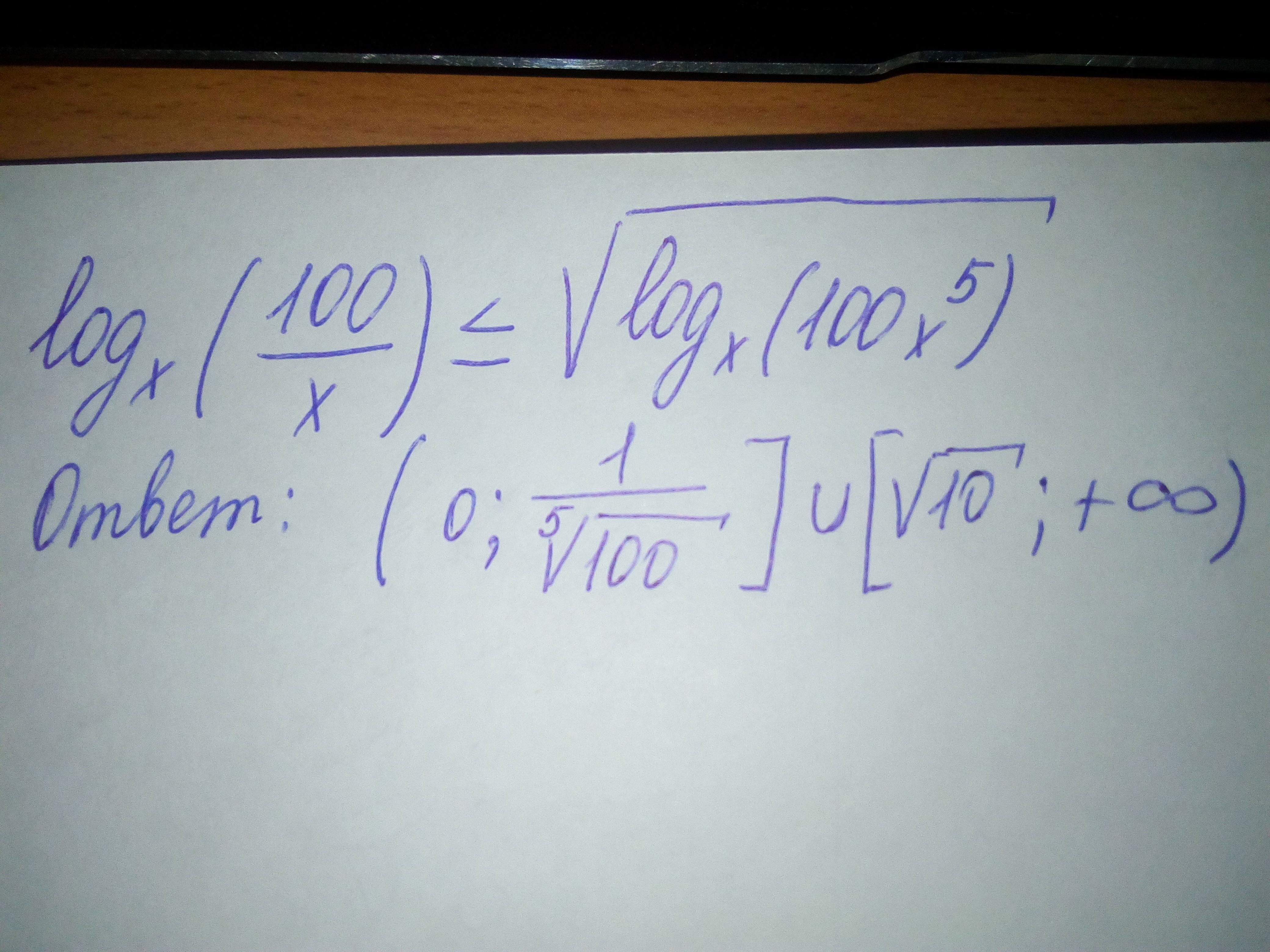
\log_x{(\frac{100}{x})}\leq \sqrt{\log_x(100x^5)}\\\log_x{100}-\log_x{x}\leq \sqrt{\log_x{100}+\log_x{x^5}}\\\log_x{100}-1\leq \sqrt{\log_x{100}+5}

Пусть \log_x{100}=t

t-1\leq \sqrt{t+5}

Случай 1:

\left \{ {{t-1<0} \atop {t+5\geq 0}} \right. \left \{ {{t<1} \atop {t\geq -5}} \right. \Rightarrow t\in [-5;1)

Случай 2:

\left \{ {{t-1\geq 0} \atop {t^2-2t+1\leq t+5}} \right. \left \{ {{t\geq 1} \atop {t^2-3t-4\leq 0}} \right. \left \{ {{t\geq 1} \atop {(t+1)(t-4)\leq 0}} \right. \left \{ {{t\geq 1} \atop {-1\leq t\leq 4}} \right. \Rightarrow t\in[1;4]

Значит, -5\leq t\leq 4

Решим 2 неравенства:

1. \log_x{100}\leq 4

2\log_x{10}\leq 4\\\log_x{10}\leq 2=\log_x{x^2}\\\left \{ {{(x-1)(10-x^2)\leq 0} \atop {x>0,x\neq 1}} \right. \left \{ {{(x-1)(x-\sqrt{10})(x+\sqrt{10})\geq 0} \atop {x>0,x\neq 1}} \right. \left \{ {{(x-1)(x-\sqrt{10})\geq 0} \atop {x>0,x\neq 1}} \right. \Rightarrow x\in(0;1)\cup[\sqrt{10};+\infty)

2. \log_x{100}\geq -5

\log_x{100}\geq \log_x{\frac{1}{x^5}}\\\left \{ {{(x-1)(100-\frac{1}{x^5})\geq 0} \atop {x>0,x\neq 1}} \right. \Rightarrow x\in (0;\frac{1}{\sqrt[5]{100}}]\cup(1;+\infty)

Объединим полученные промежутки.

Ответ: (0;\frac{1}{\sqrt[5]{100}}]\cup [\sqrt{10}; +\infty)


79519417735: Спасибо огромное))
Вас заинтересует