• Предмет: Алгебра
  • Автор: alenavolkova99
  • Вопрос задан 2 года назад

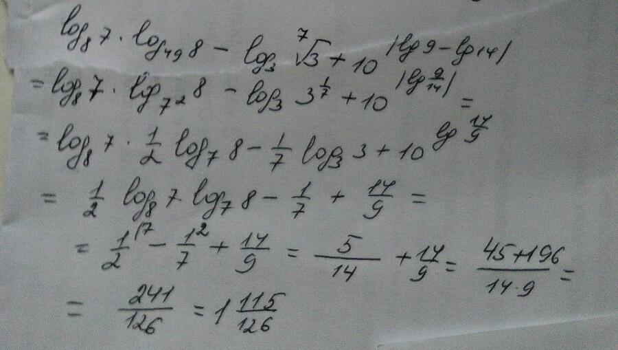
Помогите с решением,вычислить

Приложения:

Ответы

Ответ дал: lilyatomach
0

Ответ:

решение представлено на фото

Приложения:

matilda17562: Знаменатель дробной части смешанного числа записан с ошибкой.
lilyatomach: извините, спасибо
Вас заинтересует