• Предмет: Математика
  • Автор: tatyankabaranova97
  • Вопрос задан 2 года назад

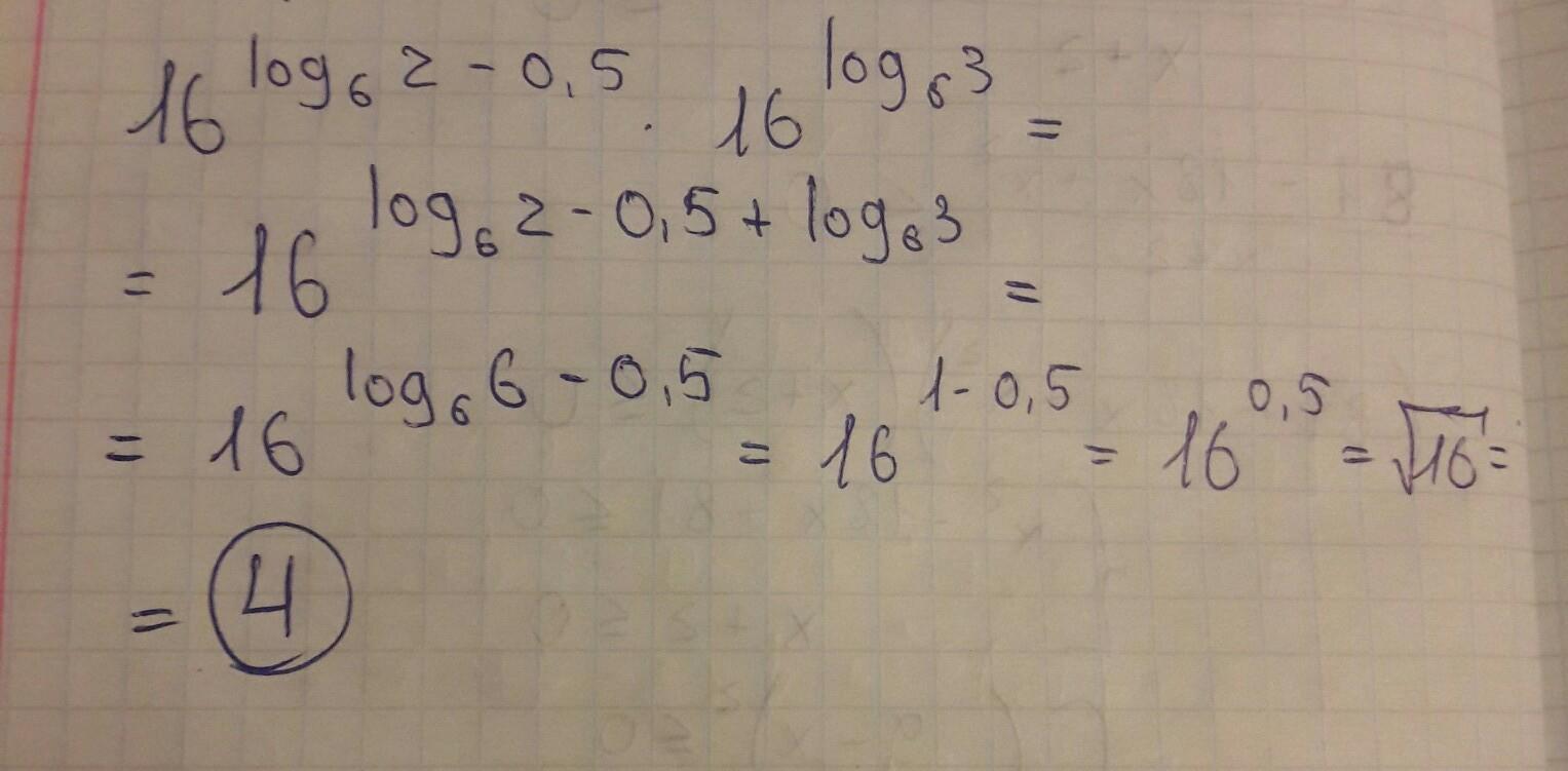
Решите пример на фото, спасибо!

Приложения:

Ответы

Ответ дал: Gridalex
1
^^^^^^^^^^^^^^^^^^^^^^^^^^
Приложения:
Вас заинтересует