• Предмет: Алгебра
  • Автор: inkamove
  • Вопрос задан 2 года назад

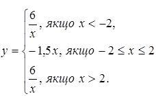
Побудуйте графік функції:

Приложения:

Ответы

Ответ дал: NNNLLL54
1

y=6/x  - гипербола, имеет две ветви в 1 и 3 координатных четвертях. Проходит через точки (-2,-3) , (2,3) , (-3 , -2) , (3,2) .

у= -1,5х  -  прямая, проходящая через точки (0,0) и (2,-3) .

Приложения:
Вас заинтересует