• Предмет: Алгебра
  • Автор: inkamove
  • Вопрос задан 2 года назад

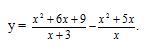
Побудуйте график функции:

Приложения:

Ответы

Ответ дал: NNNLLL54
1

Объяснение:

y=\frac{x^2+6x+9}{x+3}-\frac{x^2+5x}{x}\; \; ,\; \; \underline {ODZ:\; x\ne -3\; ,\; x\ne 0}\\\\y=\frac{(x+3)^2}{x+3}-\frac{x\, (x+5)}{x}\\\\y=(x+3)-(x+5)\\\\y=-2\; \; \; pri\; \; \; x\ne -3\; \; i\; \; x\ne 0

Графиком заданной функции является прямая у= -2 с выколотыми точками (-3,-2)  и  (0,-2) .

Приложения:
Вас заинтересует