• Предмет: Математика
  • Автор: kolp164
  • Вопрос задан 2 года назад

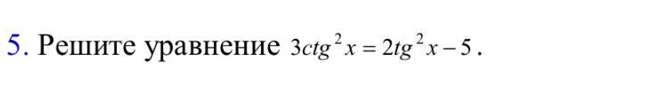
Срочно помогите уравнение

Приложения:

Ответы

Ответ дал: юлечка12let
0

Ответ:

Если будут вопросы, то пиши

Пошаговое объяснение:

Приложения:
Вас заинтересует