• Предмет: Математика
  • Автор: ims02
  • Вопрос задан 2 года назад

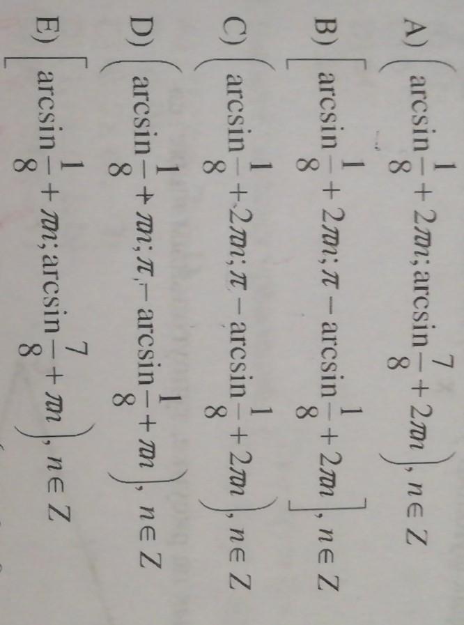
решите неравенство
sinx≥1/8
Даю 21б
Помогите
Заранее спасибо

Приложения:

Ответы

Ответ дал: NNNLLL54
0

sinx\geq \frac{1}{8}\\\\x\in [\, arcsin\frac{1}{8}+2\pi n\; ;\; \pi -arcsin\frac{1}{8}+2\pi n\, ]\; \;, \; \; n\in Z

Приложения:

ims02: Можно полное решение
ims02: Подробно
NNNLLL54: рисунок - это объяснение к решению...
Вас заинтересует