• Предмет: Математика
  • Автор: wolfa981
  • Вопрос задан 2 года назад

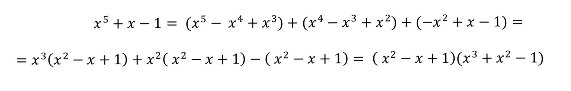
Представьте многочлен х^5+х-1 в виде произведения многочленов степени меньше 5 с целыми коэффициентами

Ответы

Ответ дал: antonovm
0

Ответ:

РЕШЕНИЕ : ///////////////////////////////

Приложения:
Вас заинтересует