Решите наиболее быстрым и удобным способом. (p.s у меня вышло (a²+ab+b²)/^3√a , подставляю значение и что-то не то.)
Приложения:

Аноним:
Что-то не нравится оно мне... Сразу не сократишь дроби
Ответы
Ответ дал:
3
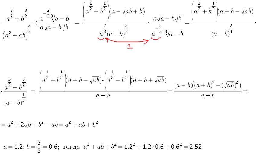
Ответ:
решение представлено на фото
Приложения:

Ответ дал:
1
Ответ: 2,52.
Объяснение:
Приложения:

Вас заинтересует
1 год назад
2 года назад
2 года назад
3 года назад
3 года назад
8 лет назад