Помогите пожалуйста, дам 30 баллов
Приложения:

tatsach:
Какой номер? Если все то разделите их на 2 вопроса, а то очень много
Ответы
Ответ дал:
1
Ответ:
помогу только с 1 заданием и 3
Пошаговое объяснение:
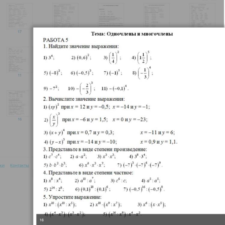
1) 3^4=3×3×3×3=81
2)(0,6^2)=0,6×0,6=0,36
3)(1/4)^2=1/4×1/4=1/16
4)(1*1/2)^5; 1×1/2=1,5; 1,5×1,5×1,5×1,5×1,5=7,6
5)(-8)^2=(-8)×(-8)=64
6)(-0,5)^3=(-0,5)×(-0,5)×(-0,5)=-0,125
7)(-1)^7=(-1)×(-1)×(-1)×(-1)×(-1)×(-1)×(-1)=-1
8)(-1/3)^4=(-1,3)×(-1,3)×(-1,3)×(-1,3)=2,9
9)-7^3=(-7)×(-7)=49
10)-(-2/3)^3=2/3×2/3×2/3=8/27
11)(-1/3)^4=(-1/3)×(-1/3)×(-1/3)×(-1,3)=1/81
задание 3
c^7×c^4 при умножении степени складываются , то есть получается с^11
а×а^2=а^3
х^3×х^3=х^6
3^8×3^4=3^12=3×3×3×3×3×3×3×3×3×3×3×3=531441
b×b^2×b^3=b^6
х^6×х^3×х^7=х^16
(-7)^3×(-7)^6×(-7)^9=(-7)^18=1,6
Вас заинтересует
1 год назад
2 года назад
2 года назад
3 года назад
3 года назад
8 лет назад