Ответы
Ответ дал:
1
Ответ:.....
Объяснение:
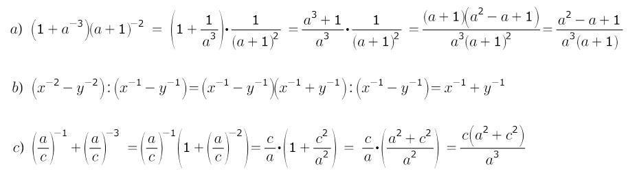
Приложения:

Вас заинтересует
2 года назад
2 года назад
3 года назад
3 года назад
8 лет назад