• Предмет: Алгебра
  • Автор: inkamove
  • Вопрос задан 2 года назад

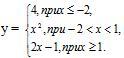
Побудуйте графік функції:

Приложения:

Ответы

Ответ дал: tumanov2004
0

.......................................

Приложения:
Вас заинтересует