• Предмет: Алгебра
  • Автор: krop40
  • Вопрос задан 2 года назад

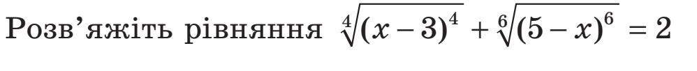
допоможіть розібратися у розв'язку рівняння

Приложения:

Ответы

Ответ дал: matilda17562
1

Ответ:

[3;5].

Объяснение:

1) ⁴√(x-3)⁴ = lx-3l;

⁶√(5-x)⁶ = l5-xl, тогда

⁴√(x-3)⁴+⁶√(5-x)⁶= 2

lx-3l + l5-xl =2

2) Найдём нули подмодульных выражений:

х-3 = 0, х=3;

5-х = 0, х=5.

✓ если x∈ (-∞;3] , то lх-3l = -x+3; l5-xl = 5-x;

-x+3+5-x=2

-2x=2-8

-2x=-6

x=3

3 является корнем уравнения.

✓ если x∈ (3 ;5), то lх-3l = x-3; l5-xl = 5-x;

x-3+5-x=2

0•x=0

Любое число из промежутка (3 ;5) является корнем.

✓ если x∈ [5 ; +∞), то lх-3l = x-3; l5-xl = -5+x;

x-3-5+x=2

2x=2+8

2х = 10

х =5

5 является корнем уравнения.

Объединяя полученные решения, получим:

{3}∪(3;5)∪{5} = [3;5].


krop40: логично и точно
Вас заинтересует