• Предмет: Математика
  • Автор: alexivanov280799
  • Вопрос задан 2 года назад

Вроде как решил, но не могу правильно определиться с ОДЗ, подскажите как определять))

Приложения:

NikNek228: одз только?

Ответы

Ответ дал: NikNek228
1

Пошаговое объяснение:

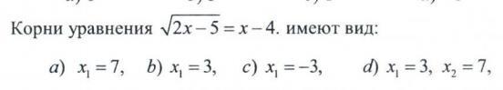
1) x-4 >= 0 x >= 4. Про выражение под корнем не надо писать, что оно больше или равно нуля, т.к. при возведении в квадрат мы получаем, что

2x-5=(x-4)² а (x-4)² - величина не отрицательная, значит выражение под корнем тоже не отрицательное! Итого x >=4

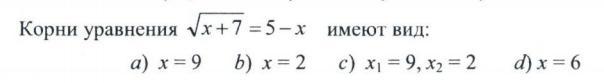
2) 5 - x >=0   x<=5


alexivanov280799: А ответы какие получатся тогда?
NikNek228: в первом случае x = 7
NikNek228: во втором 2
Вас заинтересует