• Предмет: Математика
  • Автор: alexivanov280799
  • Вопрос задан 2 года назад

Не могу получить верное решение.

Приложения:

Ответы

Ответ дал: Vasily1975
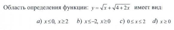
1

Ответ: x≥0.

Пошаговое объяснение:

Так как подкоренное выражение не может быть быть отрицательным, то должны выполняться условия x≥0 и 4+2*x≥0. Второе неравенство приводится к виду 2*x≥-4, откуда x≥-2. Но так как x не может быть отрицательным, то x≥0.

Вас заинтересует