• Предмет: Математика
  • Автор: owslakatrin
  • Вопрос задан 2 года назад

Решите логарифмическое неравенство. Можно подробнее. Пример в фото

Приложения:

Ответы

Ответ дал: artalex74
1

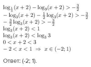
\log_{\frac{1}{3}}(x+2)-\log_9(x+2)>-\frac{3}{2}\\ -\log_3(x+2)-\frac{1}{2} \log_3(x+2)>-\frac{3}{2}\\ -\frac{3}{2} \log_3(x+2)>-\frac{3}{2}\\ \log_3(x+2)<1\\ \log_3(x+2)< \log_33\\ 0<x+2<3\\ -2<x<1\ \Rightarrow\ x \in (-2;1)

Ответ: (-2; 1).

Приложения:
Ответ дал: lilyatomach
1

Ответ:

решение представлено на фото

Приложения:
Вас заинтересует