• Предмет: Математика
  • Автор: owslakatrin
  • Вопрос задан 2 года назад

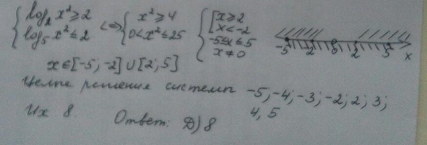
Сколько целых решений удовлетворяют системе неравенств. Можно полробнее, пожалуйста. Пример в фото

Приложения:

Ответы

Ответ дал: lilyatomach
1

Ответ:

решение представлено на фото

Приложения:
Вас заинтересует