• Предмет: Математика
  • Автор: djabrik
  • Вопрос задан 2 года назад

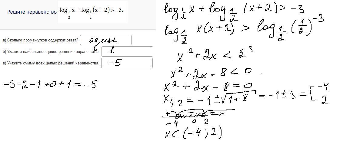
Решите неравенство: log1/2 от x + log1/2 от (x+2) > -3

а)Сколько промежутков содержит ответ?

б)Укажите наибольшее целое решение неравенства

в)Укажите наименьшее целое решение неравенства

Приложения:

Ответы

Ответ дал: talk111
1

Ответ:

1, 1, -5

Пошаговое объяснение:..................... .................... .............................

Приложения:

djabrik: благодарю
Вас заинтересует