• Предмет: Алгебра
  • Автор: Moqi123
  • Вопрос задан 2 года назад

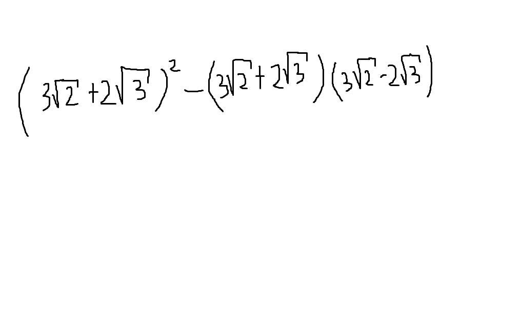
Спростіть вираз

(Спростіть вираз)







Приложения:

Ответы

Ответ дал: Аноним
5

9*2+12√6+4*3-(9*2-4*3)= (квадрат суммы-разность квадратов)

18+12√6+12-18+12=12√6+24=12(√6+2)


Аноним: https://znanija.com/task/32624596
Аноним: помогите с физикой
Вас заинтересует