• Предмет: Математика
  • Автор: ruqiya49
  • Вопрос задан 2 года назад

представить в виде произведений 2 косинус альфа минус корень из 3​

Ответы

Ответ дал: artalex74
3

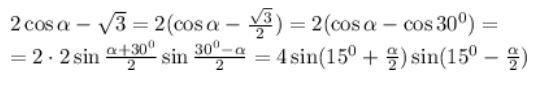
2\cos\alpha -\sqrt{3}=2(\cos\alpha-\frac{\sqrt{3}}{2})=2(\cos\alpha-\cos30^0)=\\=2\cdot2\sin\frac{\alpha+30^0}{2}\sin\frac{30^0-\alpha}{2}=4\sin(15^0+\frac{\alpha}{2})\sin(15^0-\frac{\alpha}{2})

Приложения:
Вас заинтересует