• Предмет: Математика
  • Автор: Evtushenkovadim2014
  • Вопрос задан 2 года назад

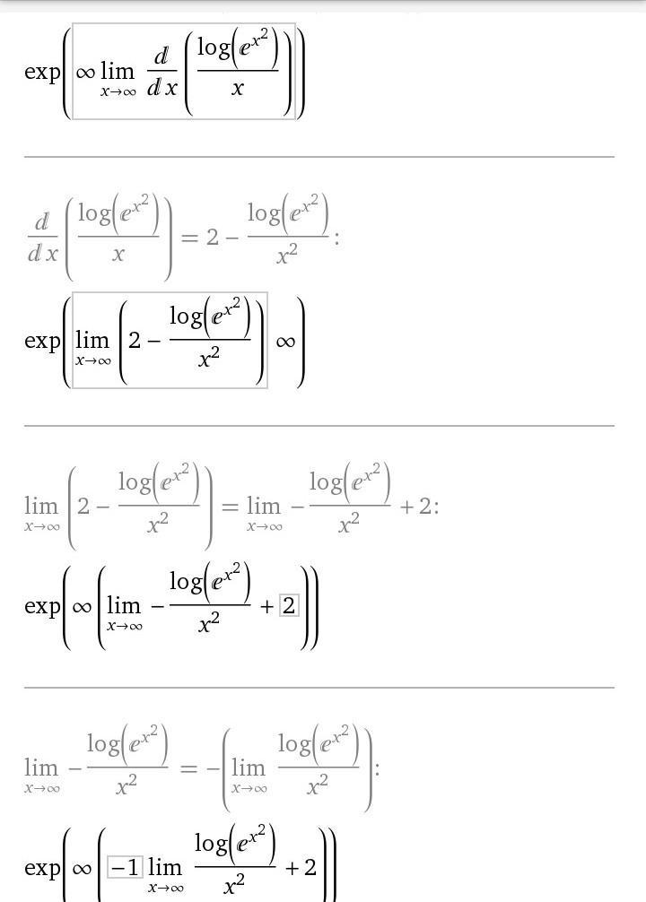
Решите предел, ОЧЕНЬ СРОЧНО !!!!!!!!!!
Лопиталем

Приложения:

Ответы

Ответ дал: MaksMolchDmitr
0

Пошаговое объяснение:

Воооооооооооот таааааааааак

Приложения:
Вас заинтересует