• Предмет: Математика
  • Автор: Evtushenkovadim2014
  • Вопрос задан 2 года назад

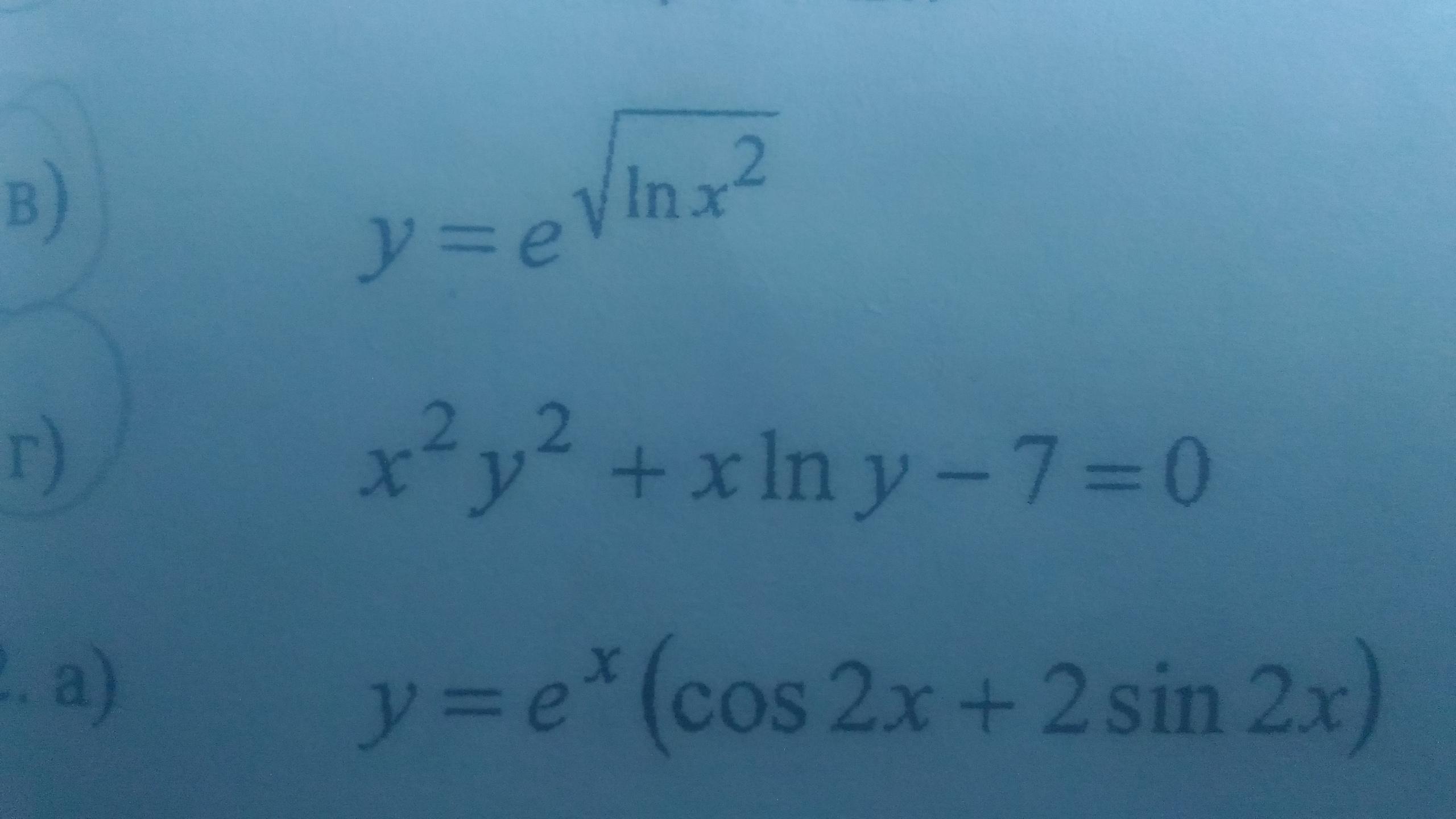
Решите СРОЧНО !!!!!!!! Производная функции
(Г)

Приложения:

Evtushenkovadim2014: а можно указать какие формулы использовались

Ответы

Ответ дал: artalex74
1

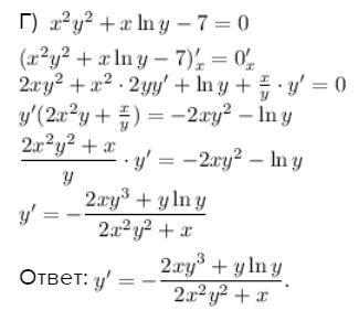
Г)  x^2y^2+x\ln y-7=0

(x^2y^2+x\ln y-7)'_x=0'_x\\ 2xy^2+x^2\cdot2yy'+\ln y+\frac{x}{y}\cdot y'=0\\ y'(2x^2y+\frac{x}{y})=-2xy^2-\ln y\\ \dfrac{2x^2y^2+x}{y}\cdot y'=-2xy^2-\ln y\\ y'=-\dfrac{2xy^3+y\ln y}{2x^2y^2+x}

Ответ: y'=-\dfrac{2xy^3+y\ln y}{2x^2y^2+x}.

Приложения:

Evtushenkovadim2014: Укажите пожалуйста какие формулы использовались
artalex74: Использовалось правило для неявной функции вида F(x; y)=0.
artalex74: Чтобы найти производную неявной функции вида F(x;y)=0, необходимо продифференцировать обе части заданного уравнения, рассматривая функцию как функцию от х, а затем из полученного уравнения найти производную y'.
artalex74: Уточнение: Чтобы найти производную неявной функции вида F(x;y)=0, необходимо продифференцировать обе части заданного уравнения, рассматривая функцию у как функцию от х, а затем из полученного уравнения найти производную y'. При решении производная функции у берется как производная сложной функции.
Вас заинтересует