• Предмет: Математика
  • Автор: lilyadarina03
  • Вопрос задан 2 года назад

пожалуйста помогите решить
15 2|4-7,2:4|7


tatsach: 2/4 и 4/7 это дроби?

Ответы

Ответ дал: tatsach
0

Ответ:

Пошаговое объяснение:

7,2:4/7=36/5*7/4=63/5=12 3/5

15 2/4-12 3/5=15 10/20-12 12/20=

2 9/10=2,9

7,2:4/7=7,2*1,75=12,6

15 2/4-12,6=15,5-12,6=2,9

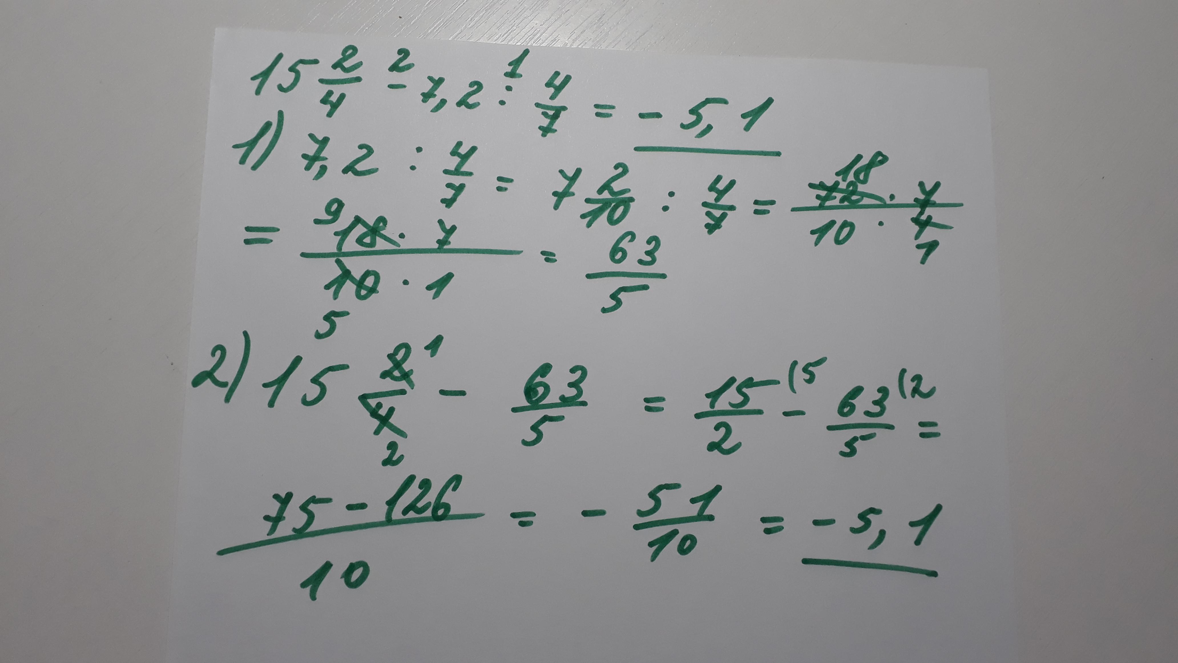
Ответ дал: Аноним
0

Ответ:-5,1

Пошаговое объяснение:

Приложения:
Вас заинтересует