• Предмет: Математика
  • Автор: 150boy
  • Вопрос задан 2 года назад

Какому значению равен предел

Приложения:

Ответы

Ответ дал: artalex74
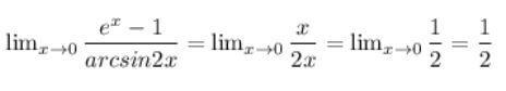
1

\lim_{x\rightarrow 0} \dfrac{e^x-1}{arcsin2x}=\lim_{x\rightarrow 0} \dfrac{x}{2x}=\lim_{x\rightarrow 0} \dfrac{1}{2}=\dfrac{1}{2}

Приложения:
Вас заинтересует