• Предмет: Математика
  • Автор: alexivanov280799
  • Вопрос задан 2 года назад

Прошу подсказать. Буду очень благодарен!

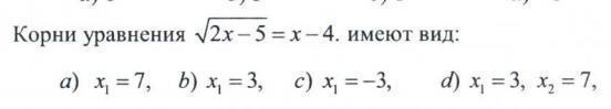
Приложения:

Ответы

Ответ дал: lilyatomach
0

Ответ:

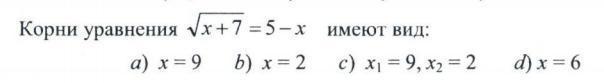
решение представлено на фото

Приложения:
Вас заинтересует