• Предмет: Математика
  • Автор: CONCEAL
  • Вопрос задан 2 года назад

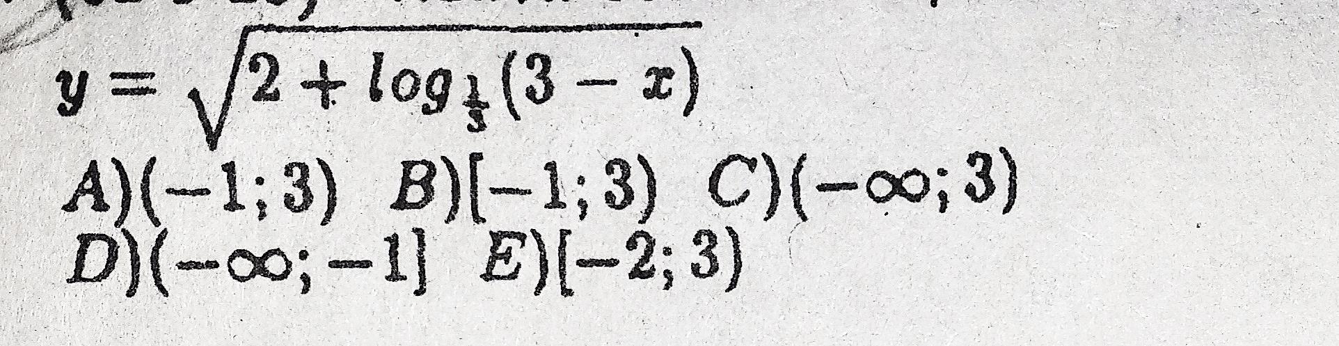
Найдите область определения функции. Подробно можно. Задание в фотке

Приложения:

Ответы

Ответ дал: Gridalex
0

2 +  log_{ \frac{1}{3} }(3 - x)  \geqslant 0 \\  log_{ \frac{1}{3} }(3 - x)  \geqslant  - 2 \\  log_{ \frac{1}{3} }(3 - x)  \geqslant  log_{ \frac{1}{3} }(9)  \\ 3 - x \leqslant 9. \:  \:  \:  \: 3 - x > 0 \\  - x \leqslant 6 . \:  \:  \:  \:  \:  \: x < 3\\ x \geqslant  - 6. \:  \:  \:  \: x < 3

То есть xЄ [ -6 ; 3 )
Вас заинтересует