• Предмет: Алгебра
  • Автор: 79519417735
  • Вопрос задан 2 года назад

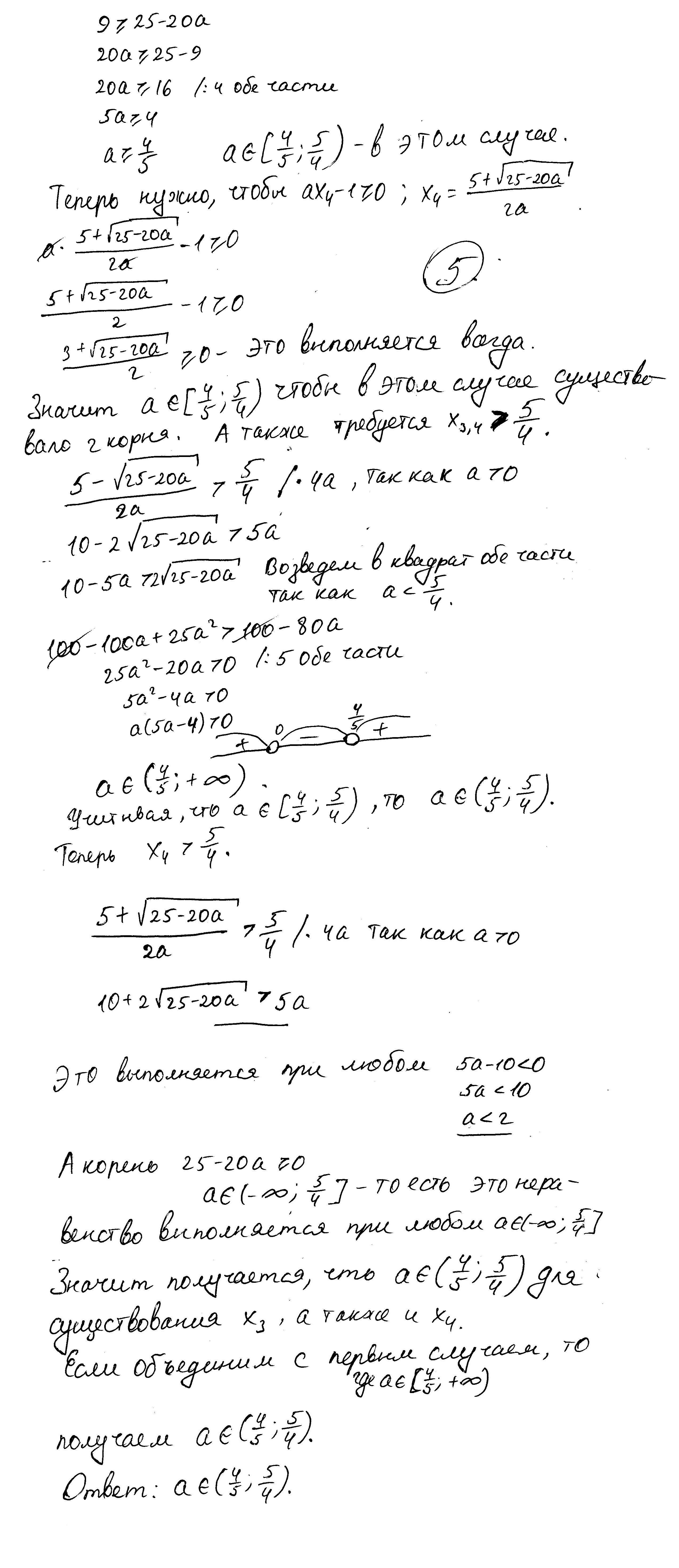
Найдите все значения а, при каждом из которых уравнение(фото в закрепе) на промежутке (0;+бесконечность) имеет более двух корней.. Ответ:4/5<а<5/4

Приложения:

Ответы

Ответ дал: bearcab
1

Ответ:

a\in(\frac{4}{5};\,\frac{5}{4})

Объяснение:

Решение в приложении. Ооочень много((

Приложения:
Вас заинтересует