• Предмет: Математика
  • Автор: aronsolovich
  • Вопрос задан 2 года назад

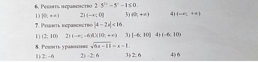
ПОМОГИТЕ РЕШИТЬ 6 , 7 , 8 НОМЕРА!

Приложения:

Ответы

Ответ дал: lilyatomach
1

Ответ:

решение представлено на фото

Приложения:
Вас заинтересует