• Предмет: Алгебра
  • Автор: мудрейшая2401
  • Вопрос задан 2 года назад

Объясните, как получили данный ответ

Приложения:

Ответы

Ответ дал: dnepr1
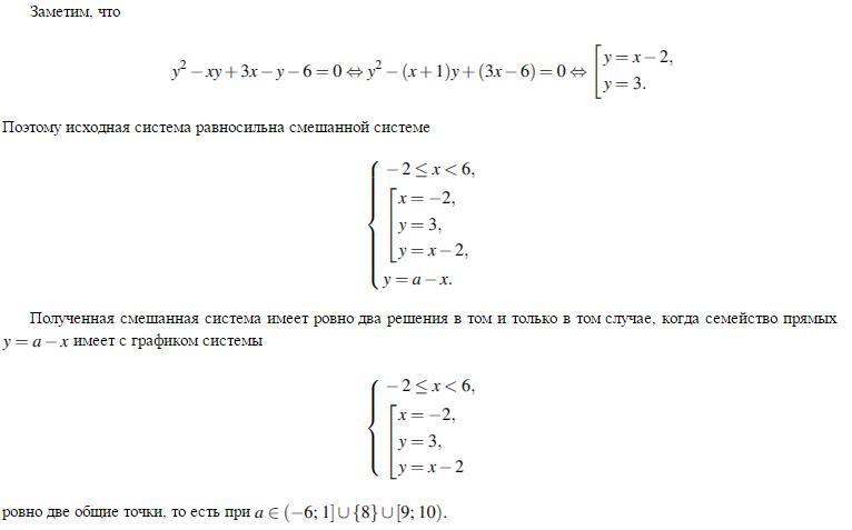
1

Приложенное решение верно.

Графически первая часть системы - это 2 отрезка прямых от х = -2 до х = 6 плюс прямая х = -2.

Произведём разложение  первого множителя первого уравнения на множители сгруппировав:

у² - (х + 1)*у + (3х - 6) = 0

Имеем квадратное уравнение относительно "у".

Д = х² + 2х + 1 - 12х + 24 = х² - 10х + 25 = (х - 5)².

у1 = (х + 1 + х - 5)/2 = (2х - 4)/2 = х - 2.

у2 = (х + 1 - х + 5)/2 = 6/2 = 3.

Получили систему из двух прямых у = х - 2  и у = 3.

Но из за ограничений ОДЗ эти прямые представлены отрезками по аргументу от х = -2 до х = 6.

В сочетании с ещё одним решением числителя, полученного из корня (х = -2) графически первое уравнения системы представляет собой  прямая х = -2 и 2 отрезка прямых у = х - 2, х  = 3.

Теперь переходим к учёту двух уравнений системы.

Второе уравнение графически представляет собой прямую у = а - х, где параметр а представляет собой точку пересечения оси Оу.

При а = (-6...1], 8 и (9...10] система имеет 2 решения.

При а = 8 прямые первого уравнения пересекаются в одной точке, итого ещё с прямой х = -2 имеется 2 точки пересечения, что является решением системы.

При а = 1 и а = 10 решений системы тоже 2 и они входят в ответ.

Приложения:

мудрейшая2401: Объясните, пожалуйста, почему в ответе получаем полуинтервал (9;10]. Если два решения получается в точках пересечения прямых.
Аноним: Автор ответа забыл на графике показать прямую х =-2. Именно её и отрезок прямой у=х-2 пересекает "красная" прямая. День уговаривали её показать на графике, но как видите, она отсутствует. Нанесите её сами и вы сразу всё поймёте.
мудрейшая2401: она есть на графике, но там получается уже три точки.
Аноним: На графике 2 чёрных отрезка, верно? Ещё чёрным вертикальную прямую, параллельную оси у, сплошную, х=-2 я не вижу. Вы её видите?
Аноним: А, вижу, она тонкой линией.
Аноним: А теперь двигайте красную прямую, она пересекает и прямую и отрезок. 2 точки пересечения имеем.
мудрейшая2401: Но она пересекает все черные прямые. Это же прямые, их можно продлить.
Аноним: Отрезки продлить нельзя. Ограничение указано, от - 2 до 6. А вот х=-2 это прямая.
Аноним: Поэтому автор ответа их и выделил жирной линией.
мудрейшая2401: Спасибо большое!
Вас заинтересует