Как получается такое число 252? На калькуляторе другое число выходит, как это считать?
Приложения:

DedStar:
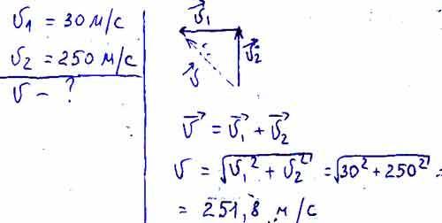
Округлите до целых. И будет 252 м/с
Ответы
Ответ дал:
0
если правильно считаешь, то получится 251,7935...
при округлении до целых получается 252
Ответ дал:
1
Смотри, получается 251,8
Когда после запятой стоят цифры от 5( то есть 5,6,7,8,9) мы грубо говоря пишем следующее число, то есть 252
Когда после запятой стоят цифры от 5( то есть 5,6,7,8,9) мы грубо говоря пишем следующее число, то есть 252
Вас заинтересует
1 год назад
1 год назад
2 года назад
3 года назад
3 года назад
8 лет назад