• Предмет: Алгебра
  • Автор: mihaillavrov
  • Вопрос задан 2 года назад

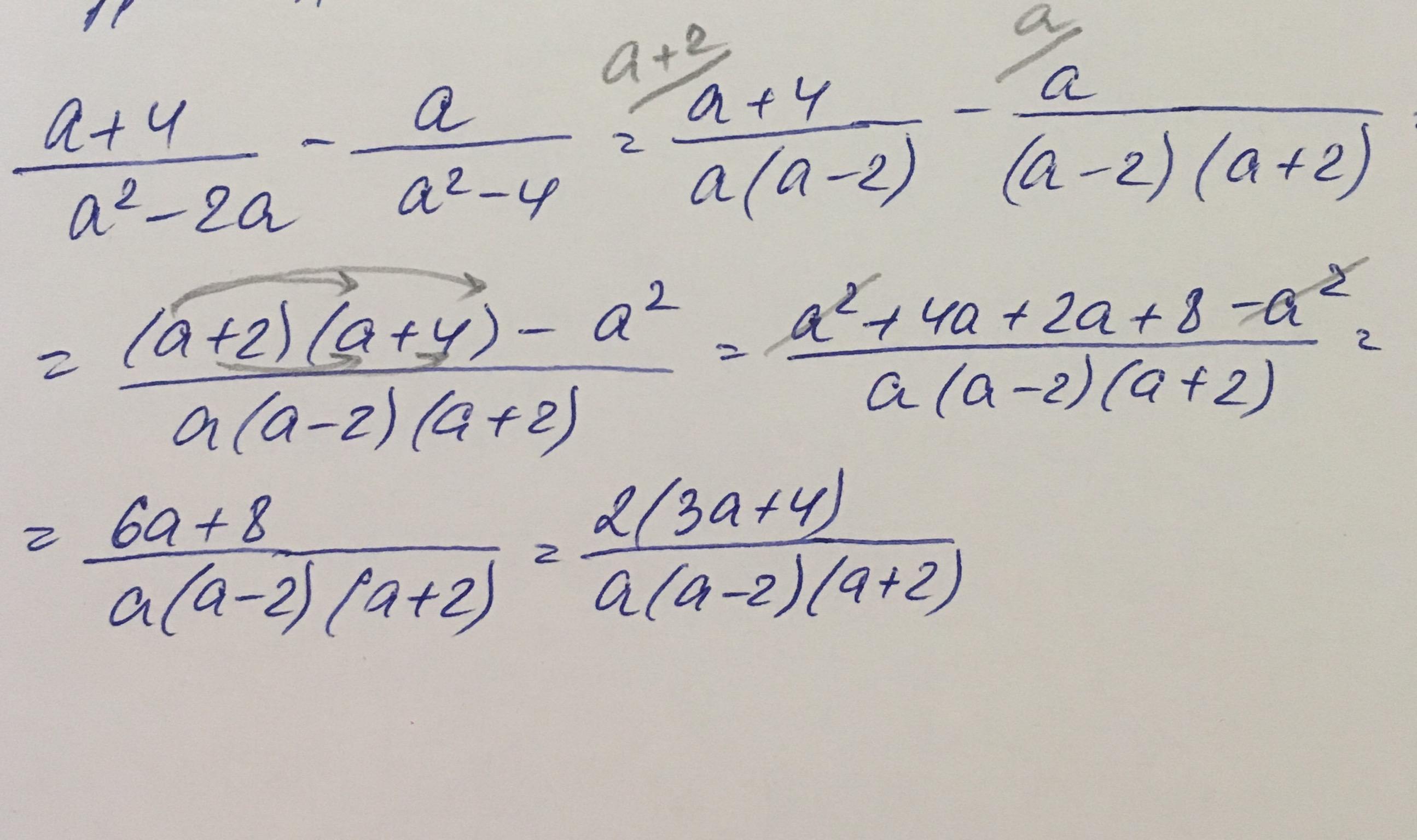
Упростите a+4/(a2-2a)-a/(a2-4)

С объяснением пожалуйста

Ответы

Ответ дал: artemevaan
2

Решение во вложение.    

Приложения:
Вас заинтересует