• Предмет: Математика
  • Автор: liza09061
  • Вопрос задан 2 года назад

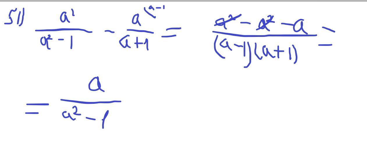
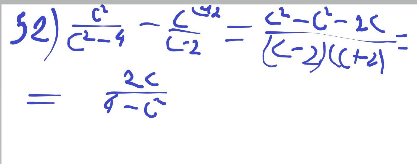
Упростите сумму или разность.
3 любых, пожалуйста

Приложения:

Ответы

Ответ дал: antonmolka
1

52, 51, 74  сделал в скринах ответы

Приложения:
Вас заинтересует