• Предмет: Алгебра
  • Автор: DimDimoch
  • Вопрос задан 2 года назад

Почему в примере с 8кой степень 2 вынеслась за скобки. И куда в втором примере делось 5Log5. Объясните плз.

Приложения:

mmb1: логарифмы проходили ???
или только учитесь их брать ???
DimDimoch: второе

Ответы

Ответ дал: nasrullo2484
1

Ответ:

В примере с 8кой степень 2 вынеслась потому что это одно и тоже что и была умножена на логорифм как в первом примере. А 5log5 исчезло потому что это главное логарифмическое тождество)

Ответ дал: mmb1
1

log(a) b = x

b = a^x

или логарифмом b по основанию а называется такое число х, при котором основание с степени x равна b

Log (2 ) 8 = log(2) 2^3 = 3

==============

a^m*a^n = a^(m+n)

(a^m)^n = a^(mn)

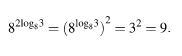
a ^ (log(a) b ) = b одно из свойств логарифма

8^(2log(8) 3) = 8^(log(8) 3) * 8^(log(8) 3) = (8^log(8) 3)^ 2 = 3^2 = 9

по свойствам показательной функции

===================

5^(log(5) 2) = 2 (по свойству a^(log(a) b) = b)

5^3 * 5^(log(5) 2) = 125 * 2 = 250

Вас заинтересует