• Предмет: Математика
  • Автор: AnastasiaEmtsova
  • Вопрос задан 2 года назад

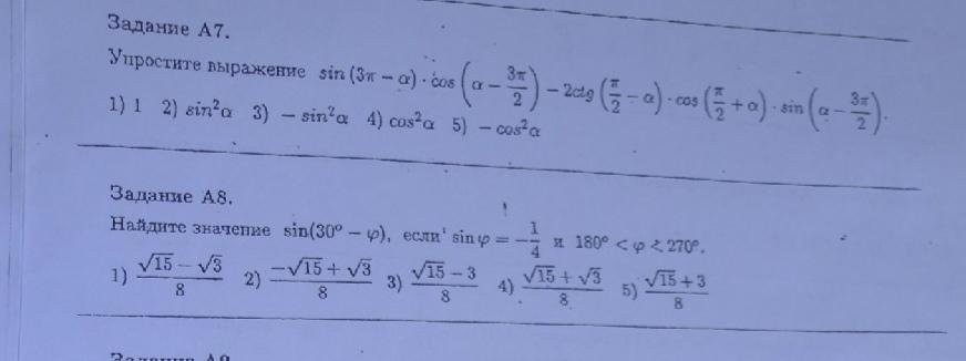
Помогите решить задание а7

Приложения:

Ответы

Ответ дал: Аноним
1

Ответ:

Після того як ми написали цей приклад ми переходимо на скорочення)))

Буду писати стисло і зрозуміло))

 -  \sin(a)  {}^{2}  + 2 \sin(a) \times  \sin(a)

( - 1 + 2) \times  \sin(a)  \times  \sin(a)

1 \sin(a)  \times  \sin(a)

 \sin(a)  {}^{2}

Якщо добре розміркувати то цей вираз що вийшов переводиться і душки забираються)))

 \sin(a)  {}^{2}  =  \sin {}^{2} a

З цього висновку ми виводимо те що правильна відповідь буде Душка А))))))

Якщо це тобі допоможе то постав як найкращу відповідь Будь-ласка Яж старався)))))))

Вас заинтересует