• Предмет: Математика
  • Автор: emiliya74
  • Вопрос задан 2 года назад

Z(3+i)=7-i Помогите пожалуйста

Ответы

Ответ дал: antonafanasev
0

Ответ:

Z = 2 - i

Пошаговое объяснение:

Пусть Z = x + iy, где x и y действительные числа.

Подставим:

(x + iy)(3 + i) = 7 - i

Раскрываем скобки, учитывая, что i*i = -1:

3x + ix + 3iy - y = 7 - i

Пишем систему для действительной мнимой частей уравнения:

3x - y = 7; x + 3y = -1;

Решением этой системы является: x = 2, y = -1;

Т.е. ответ: Z = 2 - i.

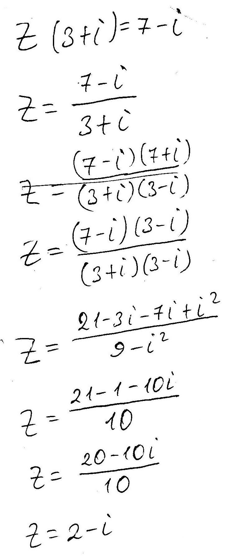
Ответ дал: bearcab
0

Ответ:

2-i

Пошаговое объяснение:

Решение в приложении

Приложения:
Вас заинтересует