• Предмет: Алгебра
  • Автор: Vladocik2017
  • Вопрос задан 2 года назад

Помогите решить пожалуйста

Приложения:

Ответы

Ответ дал: sangers1959
0

Ответ:

Объяснение:

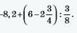
-8,2+(6-2³/₄):(³/₈)

1. 6-2³/₄=3¹/₄=13/4.

2. (13/4):(3/8)=13*8/(4*3)=13*2/3=26/3.

3. -8,2+(26/3)=-8¹/₅+²⁶/₃=²⁶/₃-⁴¹/₅=(26*5-41*3)/(3*5)=(130-123)/15=7/15.


Vladocik2017: спасибо
Ответ дал: Universalka
0

1)6-2\frac{3}{4}=3\frac{1}{4} \\\\2)3\frac{1}{4} :\frac{3}{8}=\frac{13}{4}*\frac{8}{3}=\frac{26}{3}=8\frac{2}{3}\\\\3)-8,2+8\frac{2}{3}=8\frac{2}{3}-8\frac{1}{5}=(8-8)+(\frac{2}{3}-\frac{1}{5})=\frac{10-3}{15}=\frac{7}{15}


Vladocik2017: спасибо
Вас заинтересует