• Предмет: Алгебра
  • Автор: nnnn69
  • Вопрос задан 2 года назад

решить неравенство.​

Приложения:

Ответы

Ответ дал: SmEgDm
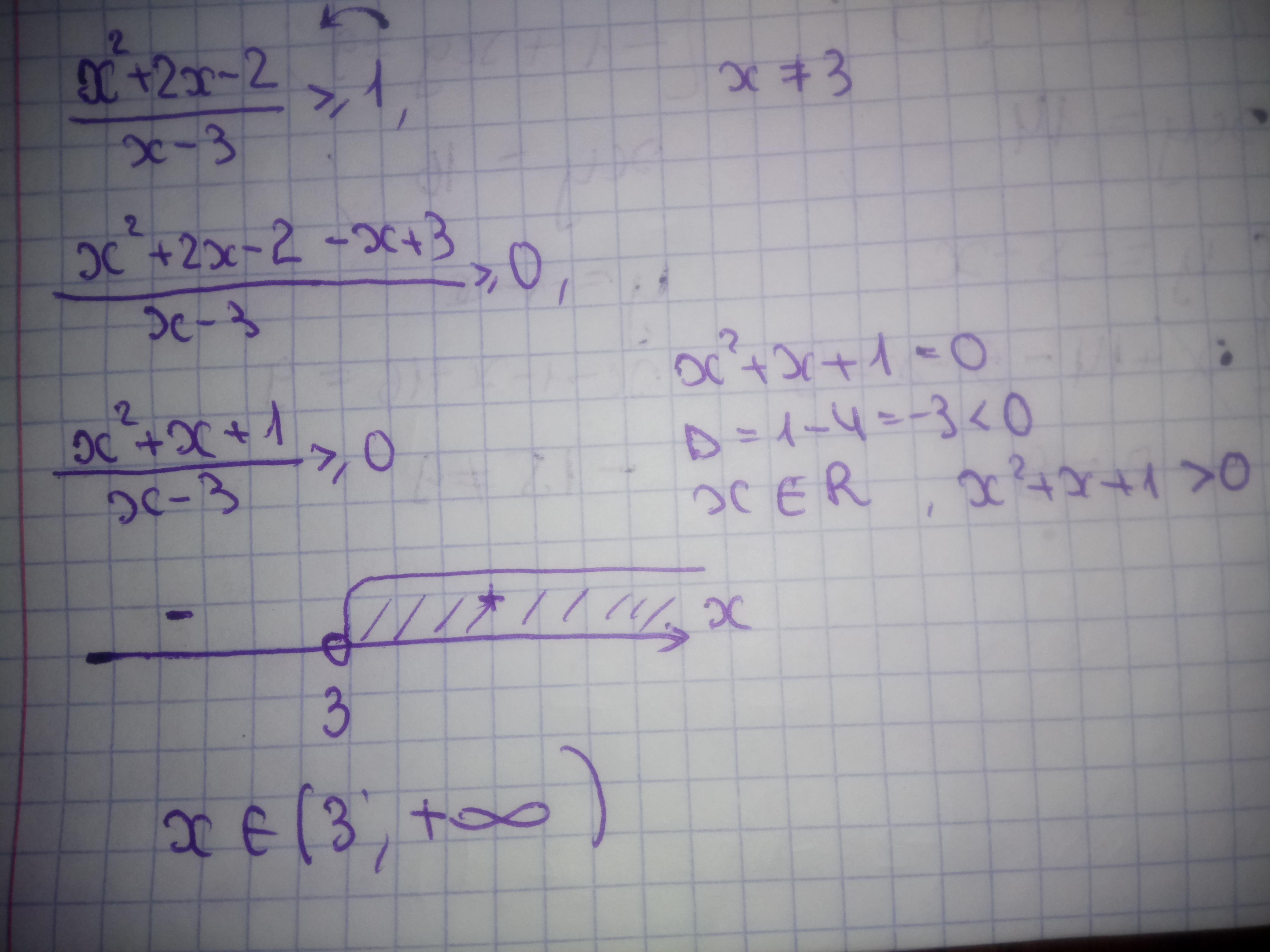
1

\frac{x^2+2x-2}{x-3} \geq 1,\\\frac{x^2+2x-2}{x-3} - 1 \geq 0,\\\frac{x^2+2x-2}{x-3} - \frac{x-3}{x-3} \geq  0,\\\frac{x^2+2x-2-(x-3)}{x-3} \geq 0,\\\frac{x^2+x+1}{x-3} \geq 0, (*)\\\frac{1}{x-3}\geq 0,\\x-3>0,\\x>3.

(*): ∀x ∈ ℝ: x²+x+1 > 0 ⇒ можно разделить левую и правую части неравенства на x²+x+1 (знак не изменится, так как это выражение положительно при всех x).

Ответ: x ∈ (3; +∞).

Ответ дал: Аноним
1

Решение задания приложено

Приложения:
Вас заинтересует