Ответы
Ответ дал:
0
Ответ:
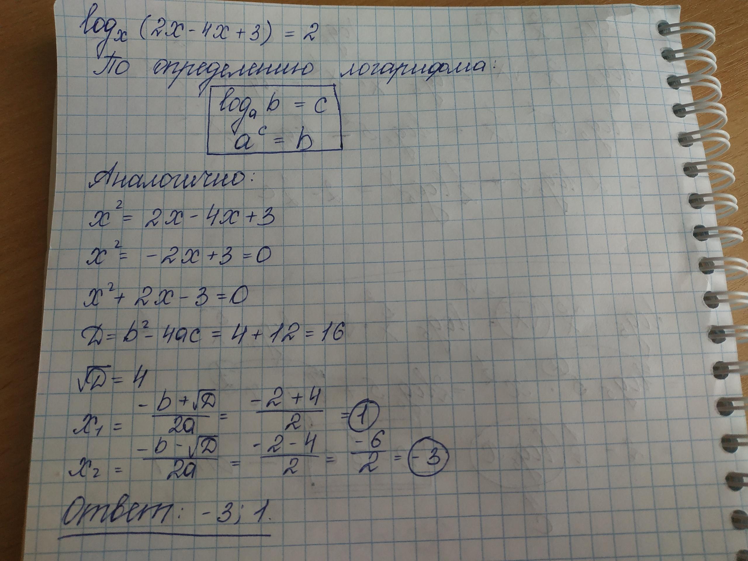
-3, 1
Пошаговое объяснение:
Решение прикрепила в отдельном файле ниже.
Для решения использовали определение логарифма: показатель степени, в которую надо возвести основание, чтобы получить данное число (или записано формулой в рамочке в самом решении)
Приложения:

Вас заинтересует
1 год назад
2 года назад
3 года назад
3 года назад
8 лет назад
8 лет назад