• Предмет: Математика
  • Автор: anzhela148
  • Вопрос задан 2 года назад

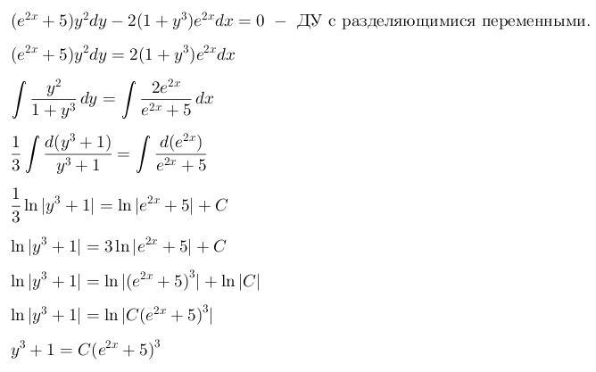
Решите задачу Коши:
(e^2x+5)y^2dy−2(1+y^3)e^2xdx=0,y(0)=5.
В ответ введите значение y(2), округлив до двух цифр после десятичной точки.


igorShap: e^2x это в условии x*e^2, или e^{2x}?

Ответы

Ответ дал: Аноним
0

Ответ:

49.80

Пошаговое объяснение:

Приложения:
Вас заинтересует