• Предмет: Математика
  • Автор: LOLpersona
  • Вопрос задан 2 года назад

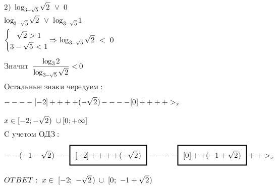
Решите неравенство
㏒₃(1-2x-x²)
⁻⁻⁻⁻⁻⁻⁻⁻⁻⁻⁻⁻⁻⁻⁻⁻⁻⁻⁻⁻ ≥ 0
㏒₃₋√₅(x+1+√2)


MizoriesKun: Что в основании логарифма в знаменателе ?
MizoriesKun: Фото есть?
LOLpersona: в оснвоании 3-sqrt5

Ответы

Ответ дал: Аноним
1

.......................................................................

Приложения:
Вас заинтересует