• Предмет: Алгебра
  • Автор: zhizn3
  • Вопрос задан 2 года назад

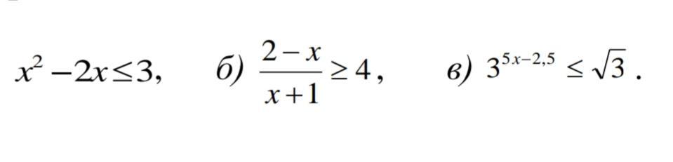
очень нужна помощь! как решаются данные уравнения?

Приложения:

AliceMagic: могу помочь только с 1 и 3
AliceMagic: нужно?
zhizn3: да
NNNLLL54: даны не уравнения, а неравенства.....
zhizn3: ой, точно, перепутала задания, это действительно неравенства

Ответы

Ответ дал: Аноним
1

Решение задания приложено

Приложения:

Аноним: Во втором, сорри, поменять местами. И на рисунке тоже. Ответ (-1; - 2/5].
Ответ дал: tyt20
1
.....................
Приложения:

Аноним: Около минус единички круглая скобка.
tyt20: Ну да... спасибо!
Вас заинтересует