решите пожалуйста. Надо найти корни
Приложения:

Аноним:
5. Это номер? +1/2 к степени или отдельно дробь?
Ответы
Ответ дал:
1
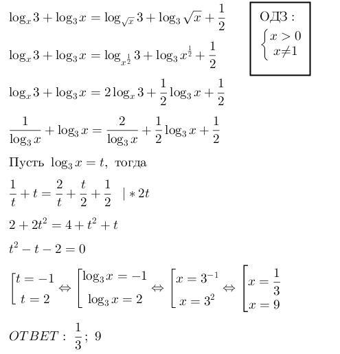
Ответ: и 9
Пошаговое объяснение: На фото
Приложения:

Ответ дал:
1
...................................................
Приложения:

Вас заинтересует
1 год назад
1 год назад
2 года назад
2 года назад
3 года назад
8 лет назад